Витамин А.Строение и свойства

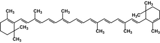
Каротин, впервые был выделен из моркови (от лат. carota – морковь). Известны 3 типа каротинов: α-, β- и γ-каротины, отличающиеся друг от друга химическим строением и биологической активностью. Наибольшей биологической активностью обладает β-каротин, поскольку он содержит два β-иононовых кольца и при распаде в организме из него образуются две молекулы витамина А.

α-Каротин

При окислительном распаде α- и γ-каротинов образуется только по одной молекуле витамина А, поскольку эти провитамины содержат по одному β-иононовому кольцу. Расщепление каротинов на молекулы витамина А происходит преимущественно в кишечнике под действием специфического фермента β-каротин-диоксигеназы (не исключена возможность аналогичного превращения и в печени) в присутствии молекулярного кислорода. При этом образуются 2 молекулы ретиналя, которые под действием специфической кишечной редуктазы восстанавливаются в витамин А. Степень усвоения каротинов и свободного витамина А зависит как от содержания жиров в пище, так и от наличия свободных желчных кислот, являющихся абсолютно необходимыми соединениями для процесса всасывания продуктов распада жиров. [8]

Более подробно выяснено значение витамина А в процессе свето-ощущения. В этом важном физиологическом процессе большую роль играет особый хромолипопротеин – сложный белок родопсин, или зрительный пурпур, являющийся основным светочувствительным пигментом сетчатки, в частности палочек, занимающих ее периферическую часть. Установлено, что родопсин состоит из липопротеина опсина и простети-ческой группы, представленной альдегидом витамина A1(ретиналь); связь между ними осуществляется через альдегидную группу витамина и свободную ε-NH2-группу лизина молекулы белка с образованием шиффова основания. На свету родопсин расщепляется на белок опсин и ретиналь; последний подвергается серии конформационных изменений и превращению в транс-форму. С этими превращениями каким-то образом связана трансформация энергии световых лучей в зрительное возбуждение – процесс, молекулярный механизм которого до сих пор остается загадкой. В темноте происходит обратный процесс – синтез родопсина, требующий наличия активной формы альдегида – 11-цис-ретиналя, который может синтезироваться из цис-ретинола, или транс-ретиналя, или транс-формы витамина А при участии двух специфических ферментов – дегидрогеназы и изомеразы. Более подробно цикл превращений родопсина в сетчатке глаза на свету и в темноте можно представить в виде схемы:

Таким образом, под действием кванта света родопсин через ряд промежуточных продуктов («оранжевый» и «желтый» белки) распадается на опсин и алло-транс-ретиналь, представляющий собой неактивную форму альдегида витамина А. Имеются сведения, что алло-транс-ретиналь может частично превращаться в активный 11-цис-ретиналь под влиянием света (на схеме – пунктирная стрелка). Однако главным путем образования 11-цис-ретиналя является ферментативное превращение транс-формы витамина А в цис-форму (под действием изомеразы) и последующее окисление ее при участии алкогольдегидрогеназы. [8]

Перейти на страницу: 1 2 3

 
 
 
 

С чего начать путь к здоровым глазам и как достичь результатов? Главное - измените отношение к своим глазам, к себе, а потом и к самой проблеме плохого зрения.

Борьба с гипертонией является сложным и многогранным процессом, основными этапами которого являются первичная профилактика, раннее выявление и адекватное лечение.